№ 1.63
Задание:
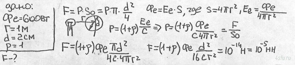
Поток энергии, излучаемый электрической лампой, равен Φе = 600 Вт. На расстоянии r = 1 м от лампы перпендикулярно падающим лучам расположено круглое плоское зеркальце диаметром d = 2 см. Принимая, что излучение лампы одинаково во всех направлениях и что зеркальце полностью отражает падающий на него свет, определить силу F светового давления на зеркальце.
Решение:
