№ 1.44
Задание:
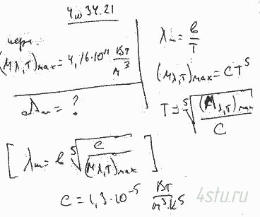
Максимальная спектральная плотность энергетической светимости абсолютно черного тела равна (Мλ,Т)max = 4,16·1011 Вт/м3. На какую длину волны λm она приходится?
Решение:

Максимальная спектральная плотность энергетической светимости абсолютно черного тела равна (Мλ,Т)max = 4,16·1011 Вт/м3. На какую длину волны λm она приходится?