№ 3.66
Задание:
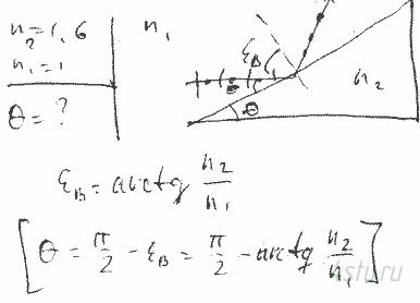
Пучок естественного света падает на стеклянную призму n = 1,6. Определить двугранный угол призмы θ, если отраженный пучок максимально поляризован. α = 30°.

Решение:

Пучок естественного света падает на стеклянную призму n = 1,6. Определить двугранный угол призмы θ, если отраженный пучок максимально поляризован. α = 30°.