№ 2.60
Задание:
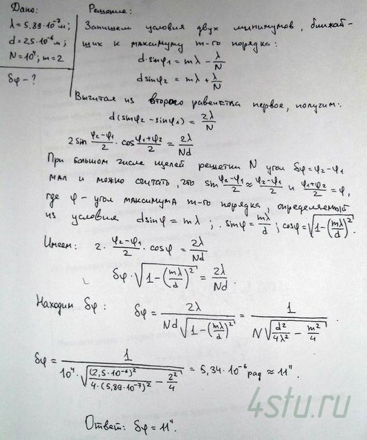
Свет с длиной волны λ = 589,0 нм падает нормально на дифракционную решетку с периодом d = 2,5 мкм, содержащую N = 10000 штрихов. Найти угловую ширину максимума второго порядка.
Решение:

Свет с длиной волны λ = 589,0 нм падает нормально на дифракционную решетку с периодом d = 2,5 мкм, содержащую N = 10000 штрихов. Найти угловую ширину максимума второго порядка.