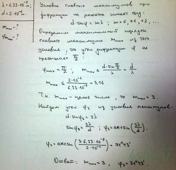
№ 2.49
Задание:
Найти наибольший порядок спектра для длины волны λ = 633 нм, если постоянная дифракционной решетки d = 2 мкм. Под каким углом наблюдается эта линия в последнем порядке?
Решение:

Найти наибольший порядок спектра для длины волны λ = 633 нм, если постоянная дифракционной решетки d = 2 мкм. Под каким углом наблюдается эта линия в последнем порядке?