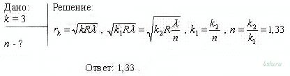
№ 1.72
Задание:
В установке для наблюдения колец Ньютона был измерен радиус третьего темного кольца. Когда пространство между пластинкой и линзой заполнили жидкостью, тот же радиус стало иметь кольцо с номером на единицу большим. Определить показатель преломления жидкости.
Решение:
