№ 1.43
Задание:
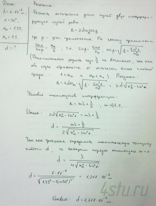
Пучок монохроматических (λ = 0,6 мкм) световых волн падает под углом α = 30° на мыльную пленку ( nМ= 1,33 ), нанесенную на поверхность стекла ( nС = 1,5 ). При какой наименьшей толщине пленки отраженный свет будет максимально ослаблен?
Решение:
