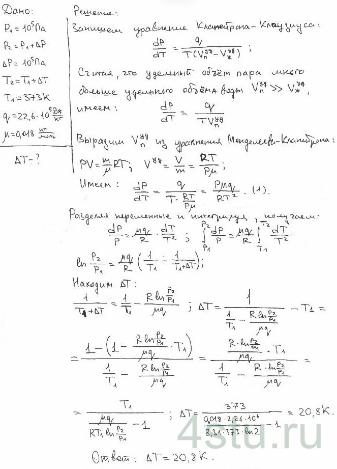
№ 6.52
Задание:
Найти повышение температуры кипения воды при увеличении давления ее насыщенного пара на одну избыточную атмосферу вблизи точки кипения воды при нормальных условиях. Пар считать идеальным газом. Удельная теплота испарения воды в этих условиях q = 22,6·105 Дж/кг, молярная масса воды μ = 0,018 кг/моль.
Решение:
