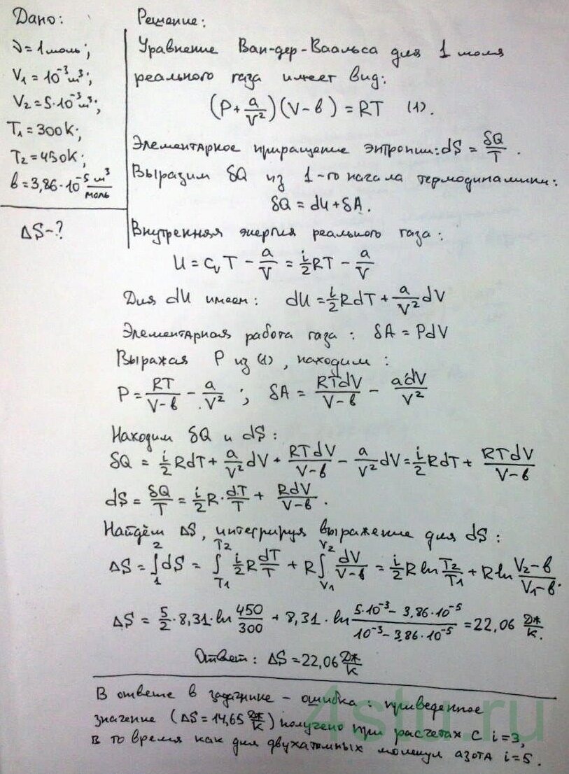
№ 6.40
Задание:
Один моль азота, имевший объем V1 = 1 л и температуру Т1 = 300 К, переведен в состояние с объемом V2 = 5 л и температурой Т2 = 450 К. Найти приращение энтропии в этом процессе. Постоянная Ван–дер–Ваальса для азота b = 3,86·10–5 м3/моль.
Решение:
