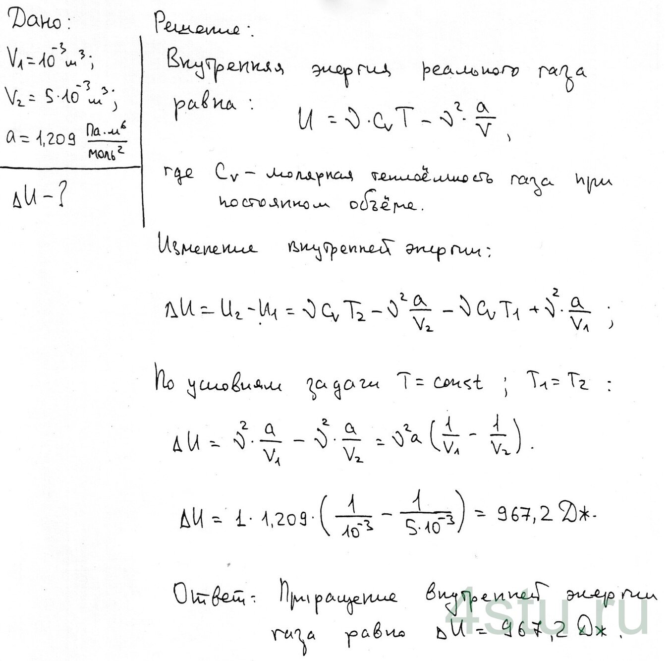
№ 6.38
Задание:
Определить изменение ΔU внутренней энергии одного моля неона при изотермическом увеличении его объема от V1 = 1 л до V2 = 5 л. Постоянная Ван–дер–Ваальса для неона а = 1,209 Па·м6/моль2.
Решение:

Определить изменение ΔU внутренней энергии одного моля неона при изотермическом увеличении его объема от V1 = 1 л до V2 = 5 л. Постоянная Ван–дер–Ваальса для неона а = 1,209 Па·м6/моль2.