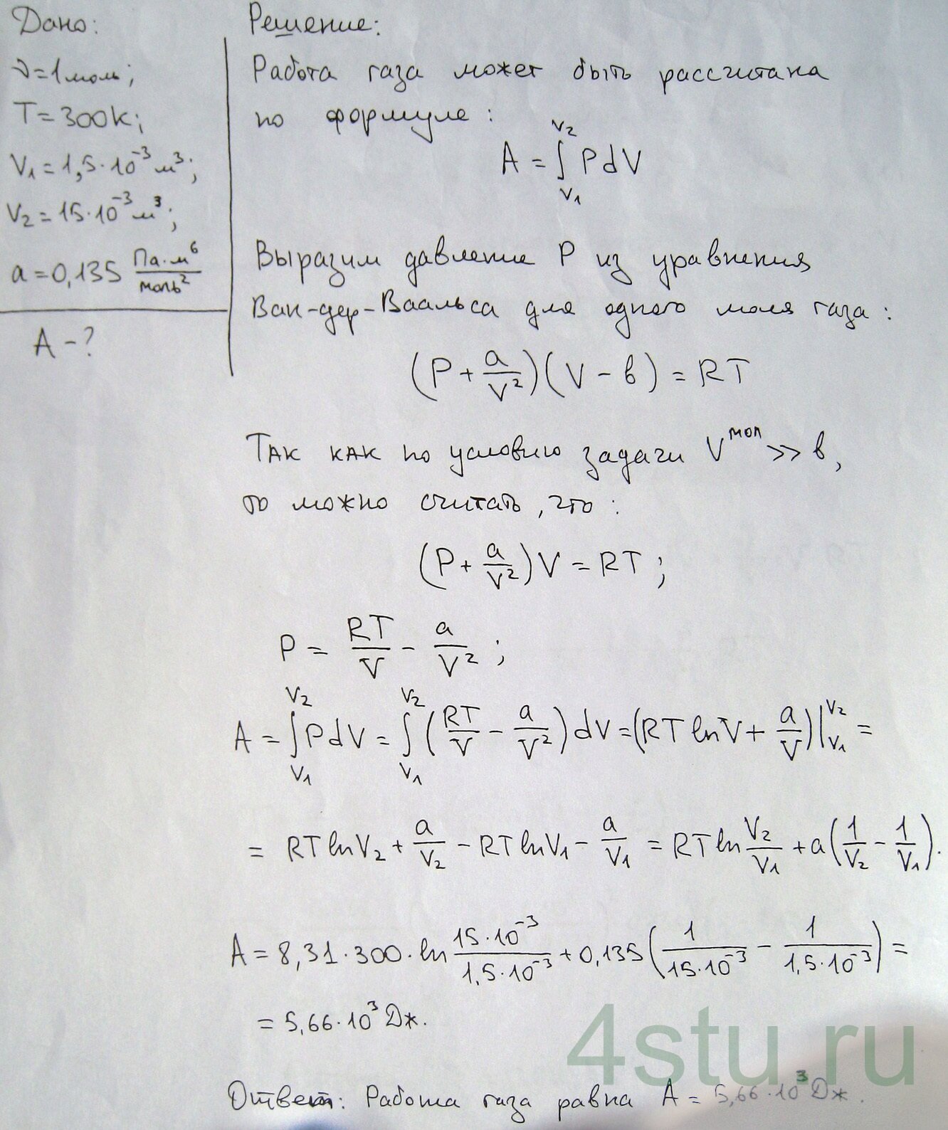
№ 6.33
Задание:
Один моль азота расширился при постоянной температуре Т = 300 К, при этом объем увеличился от V1 = 1,5 л до V2 = 15 л. Считая, что выполняется условие Vмол >> b, определить работу расширения газа. Постоянная Ван–дер–Ваальса для азота а = 0,135 Па·м6/моль2.
Решение:
