№ 6.30
Задание:
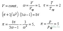
ν = 1 моль газа находится в критическом состоянии. Во сколько раз возрастет давление газа, если его температуру изохорно увеличить в два раза?
Решение:

ν = 1 моль газа находится в критическом состоянии. Во сколько раз возрастет давление газа, если его температуру изохорно увеличить в два раза?