№ 6.19
Задание:
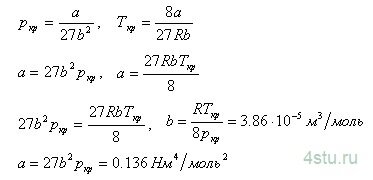
Вычислить постоянные а и b в уравнении Ван–дер–Ваальса для азота, если известны критические температура Ткр = 126 К и давление Ркр = 3,39 МПа.
Решение:

Вычислить постоянные а и b в уравнении Ван–дер–Ваальса для азота, если известны критические температура Ткр = 126 К и давление Ркр = 3,39 МПа.