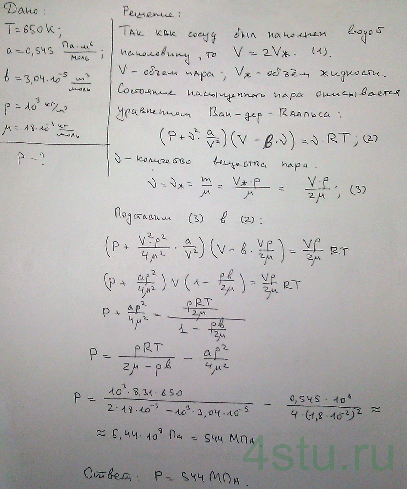
№ 6.17
Задание:
Внутреннюю полость толстостенного стального баллона наполовину заполнили водой при комнатной температуре. После этого баллон герметически закупорили и нагрели до температуры Т = 650 К. Определить давление Р водяного пара в баллоне при этой температуре. Постоянные Ван–дер–Ваальса для воды а = 0,545 Па·м6/моль2, b = 3,04·10–5 м3/моль; плотность воды ρ = 1000 кг/м3, молярная масса μ = 18·10–3 кг/моль.
Решение:
