№ 6.16
Задание:
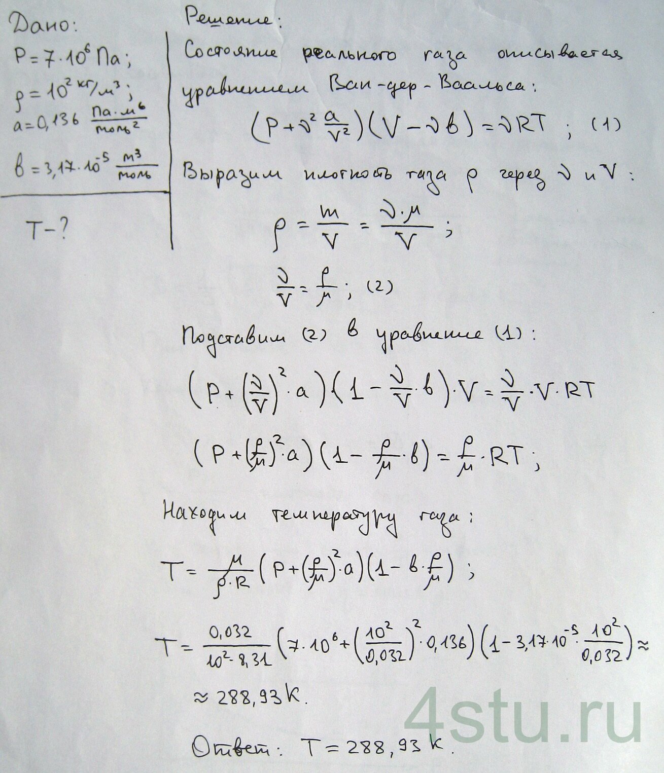
Давление кислорода Р = 7 МПа, его плотность ρ = 100 кг/м3 Найти температуру кислорода. Постоянные Ван–дер–Ваальса для кислорода а = 0,136 Па·м6/моль2, b = 3,17·10–5 м3/моль; молярная масса μ = 0,032 кг/моль.
Решение:

Давление кислорода Р = 7 МПа, его плотность ρ = 100 кг/м3 Найти температуру кислорода. Постоянные Ван–дер–Ваальса для кислорода а = 0,136 Па·м6/моль2, b = 3,17·10–5 м3/моль; молярная масса μ = 0,032 кг/моль.