№ 6.14
Задание:
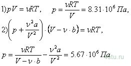
В сосуде объемом V = 0,3 л находится ν = 1 моль углекислого газа при температуре Т = 300 К. Определить давление газа: 1) по уравнению Менделеева – Клапейрона; 2) по уравнению Ван–дер–Ваальса. Постоянные Ван–дер–Ваальса для углекислого газа а = 0,361 Па·м6/моль2, b = 4,28·10–5 м3/моль.
Решение:
