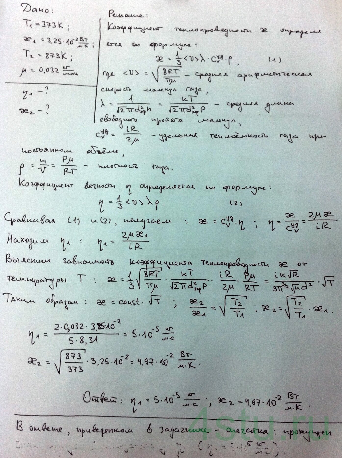
№ 5.74
Задание:
Коэффициент теплопроводности кислорода при t1 = 100°С равен κ1 = 3,25·10–2 Вт/(м·К). Вычислить коэффициент вязкости η1 кислорода при этой температуре. Чему будет равен коэффициент теплопроводности, если газ нагреть до t2 = 600°С? Молярная масса кислорода μ = 0,032 кг/моль.
Решение:
