№ 5.67
Задание:
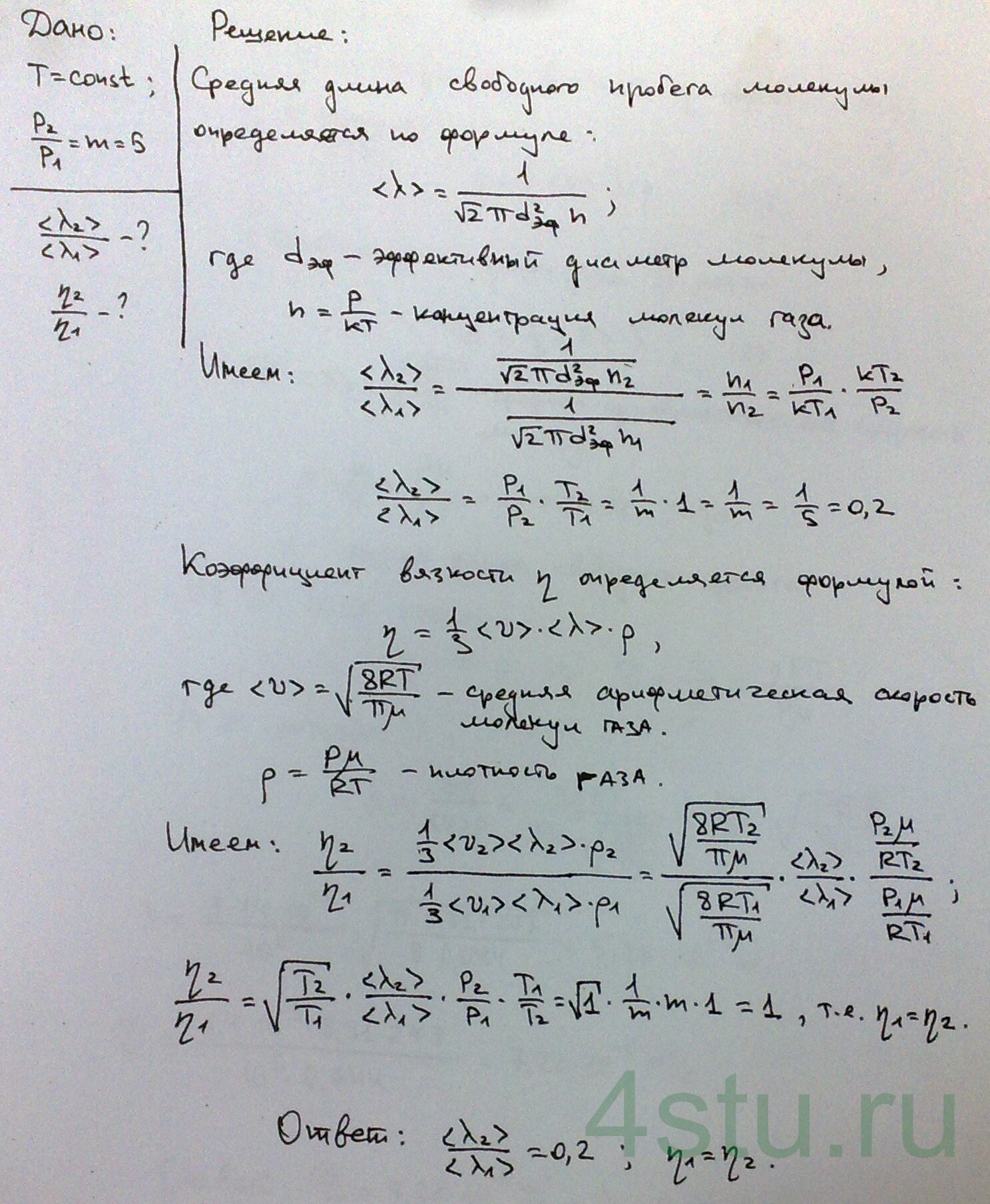
Давление идеального газа в изотермическом процессе при сжатии увеличивается в m = 5 раз. Определить, во сколько раз изменяются средняя длина λ свободного пробега молекул и коэффициент вязкости η газа.
Решение:

Давление идеального газа в изотермическом процессе при сжатии увеличивается в m = 5 раз. Определить, во сколько раз изменяются средняя длина λ свободного пробега молекул и коэффициент вязкости η газа.