№ 5.47
Задание:
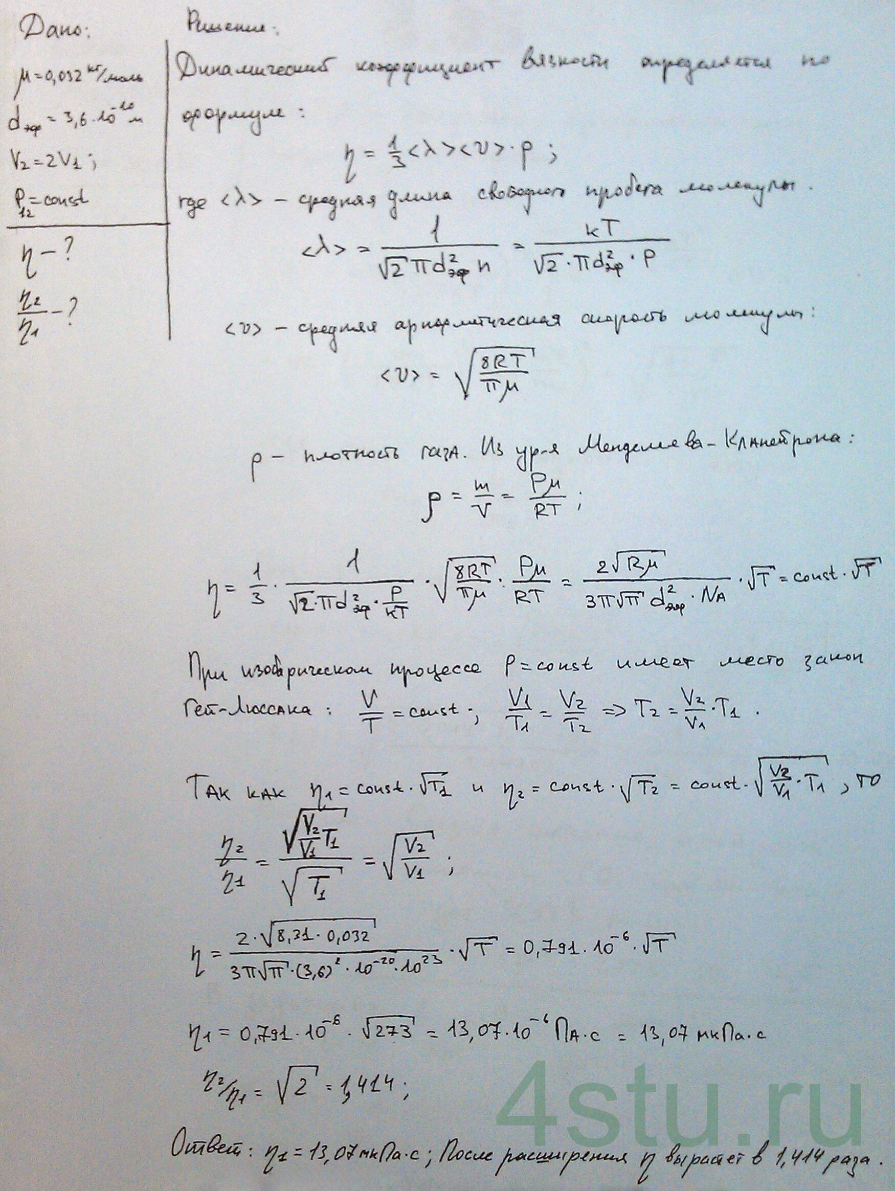
Вычислить коэффициент вязкости η кислорода при нормальных условиях. Эффективный диаметр молекулы кислорода равен dэф = 0,36 нм, молярная масса кислорода μ = 0,032 кг/моль.
Решение:

Вычислить коэффициент вязкости η кислорода при нормальных условиях. Эффективный диаметр молекулы кислорода равен dэф = 0,36 нм, молярная масса кислорода μ = 0,032 кг/моль.