№ 5.45
Задание:
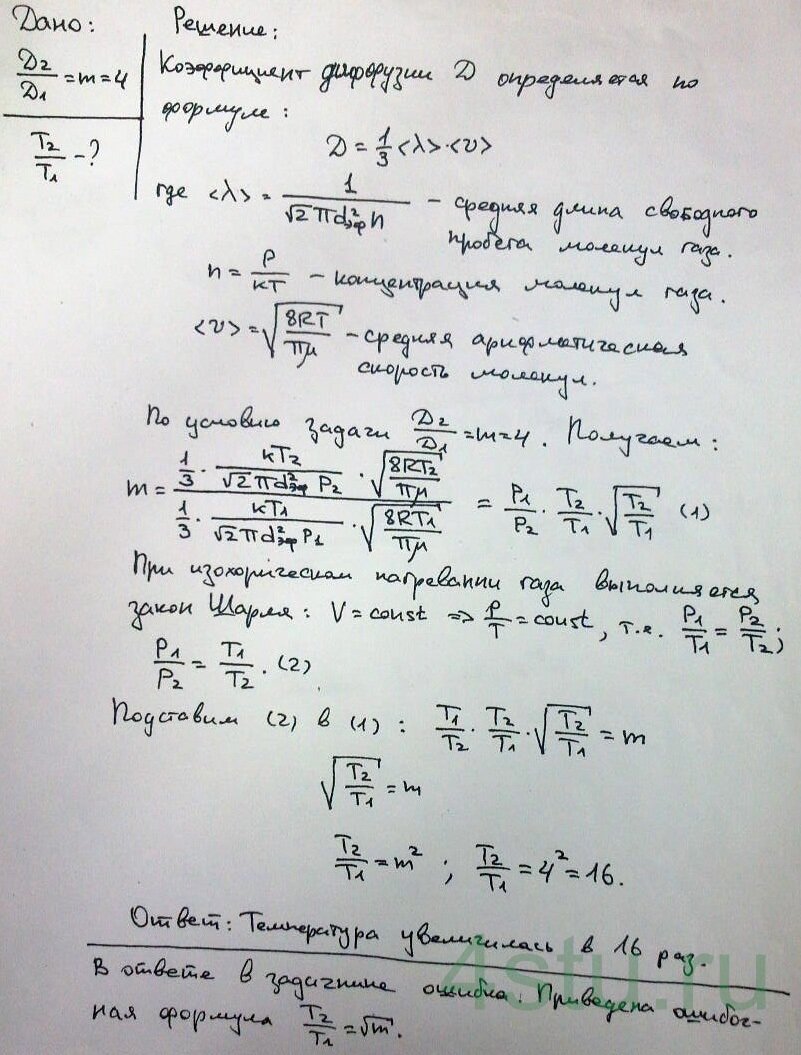
При нагревании идеального газа в закрытом сосуде коэффициент диффузии увеличился в m = 4 раза. Во сколько раз изменилась температура газа?
Решение:

При нагревании идеального газа в закрытом сосуде коэффициент диффузии увеличился в m = 4 раза. Во сколько раз изменилась температура газа?