№ 5.42
Задание:
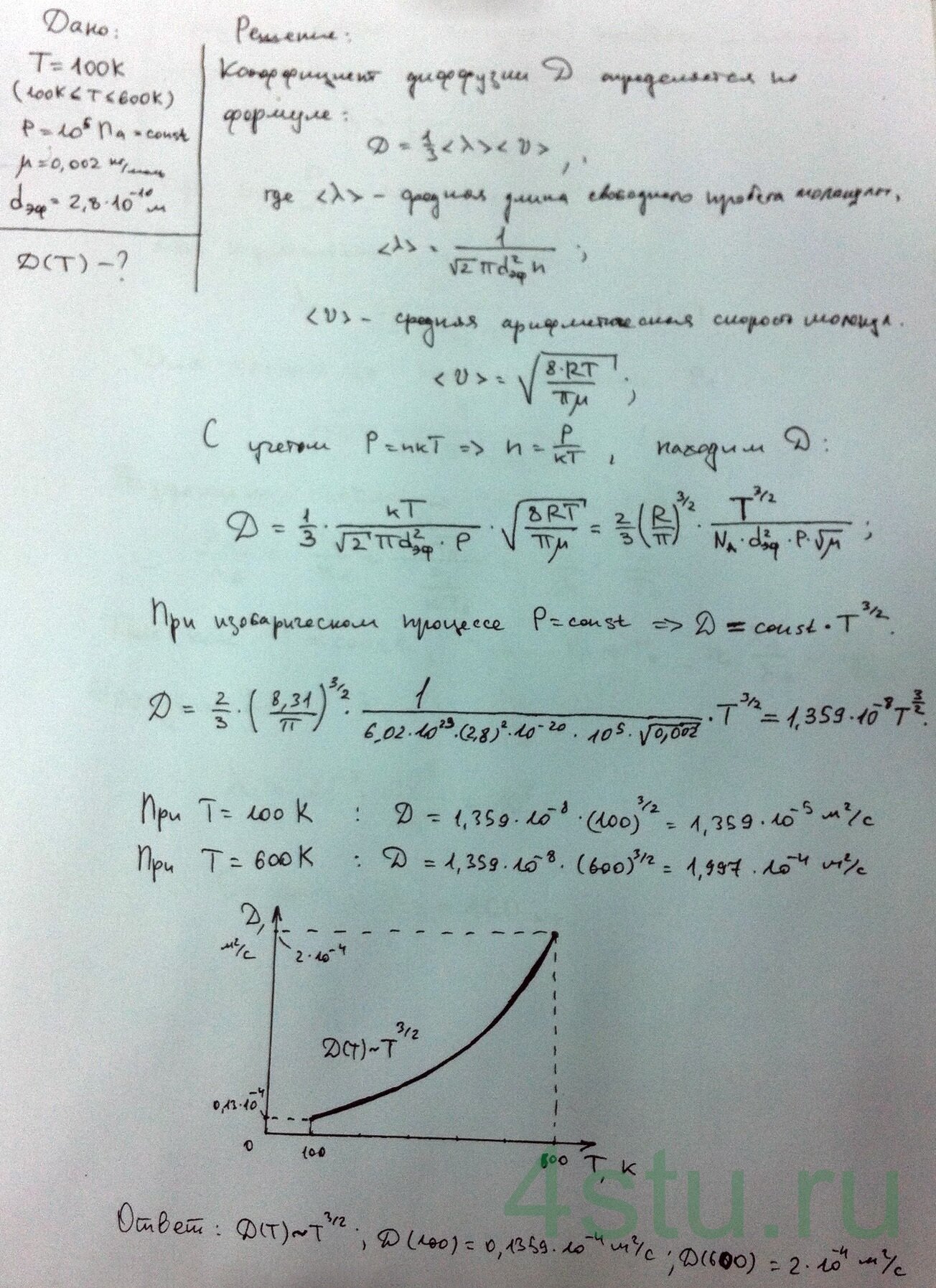
Построить график зависимости коэффициента диффузии водорода от температуры в интервале 100К ≤ Т ≤ 600К через каждые ΔТ = 100К при постоянном давлении Р = 0,1 МПа. Эффективный диаметр молекулы водорода dэф = 2,8·10–10 м. Молярная масса водорода μ = 0,002 кг/моль.
Решение:
