№ 5.30
Задание:
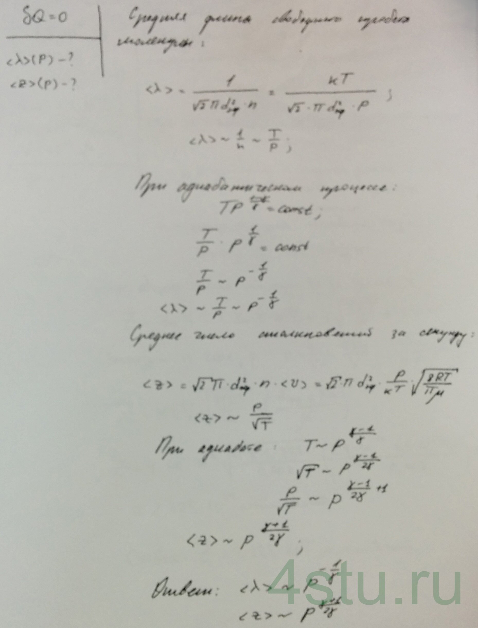
Одноатомный идеальный газ сжимается адиабатически. Найти зависимости средней длины λ свободного пробега его молекул а) от давления, б) от температуры.
Решение:

Одноатомный идеальный газ сжимается адиабатически. Найти зависимости средней длины λ свободного пробега его молекул а) от давления, б) от температуры.