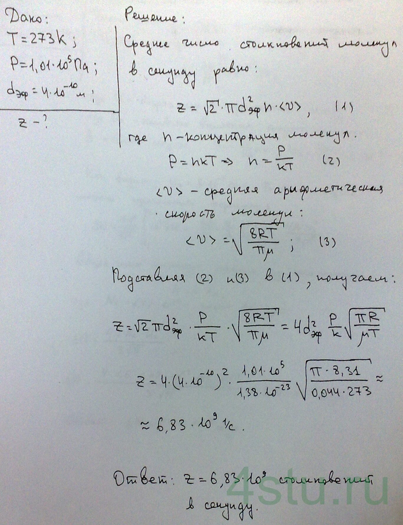
№ 5.20
Задание:
Сколько столкновений z испытывает в среднем молекула углекислого газа СО2 за одну секунду при нормальном давлении и температуре? Эффективный диаметр молекулы углекислого газа dэф = 4·10–10 м, молярная масса углекислого газа μ = 0,044 кг/моль.
Решение:
