№ 5.12
Задание:
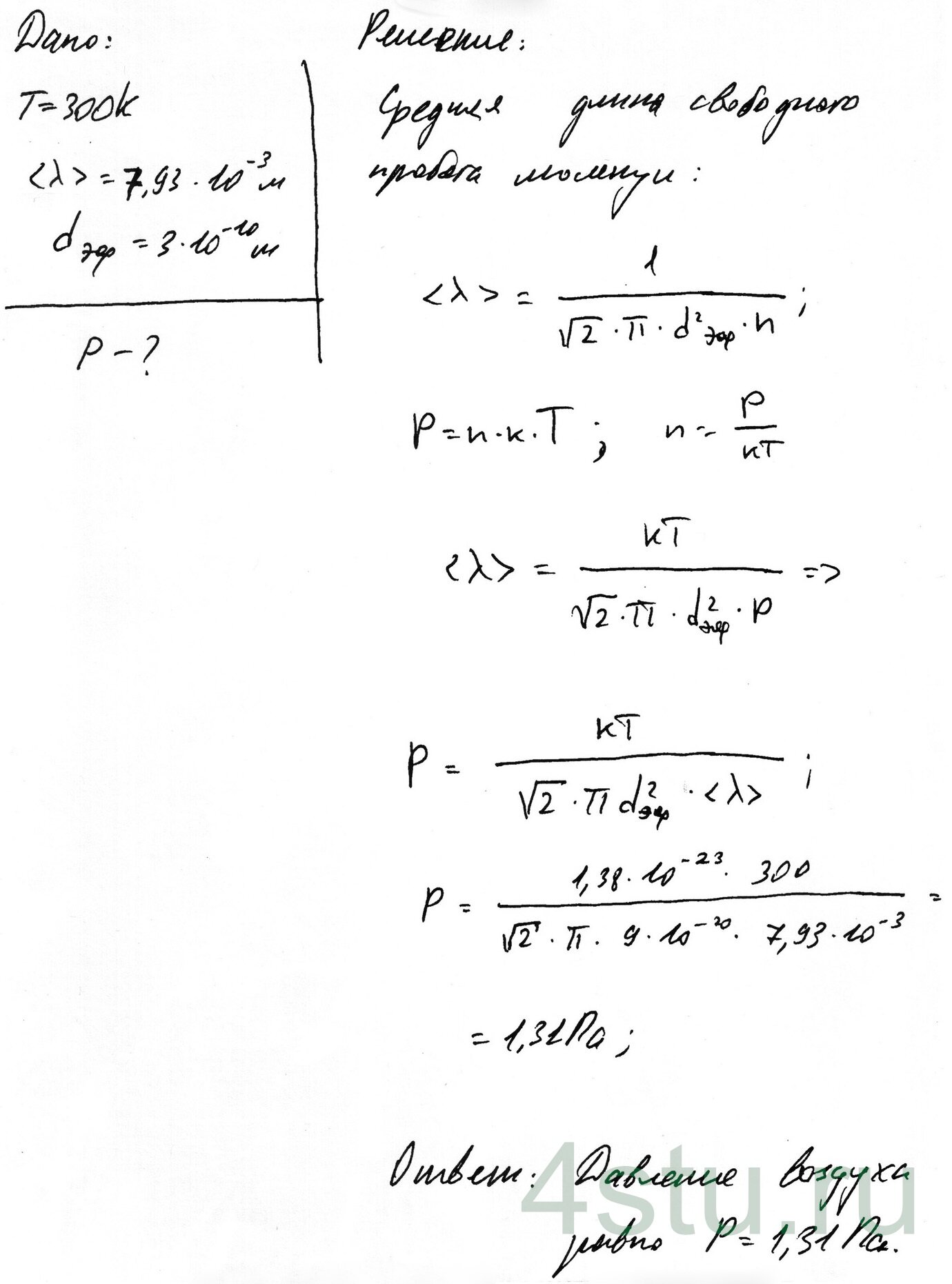
При каком давлении Р воздуха, находящегося при температуре t = 27°С, средняя длина свободного пробега его молекул составляет λ = 7,93·10–3 м? Эффективный диаметр молекулы воздуха принять равным dэф = 0,3 нм.
Решение:

При каком давлении Р воздуха, находящегося при температуре t = 27°С, средняя длина свободного пробега его молекул составляет λ = 7,93·10–3 м? Эффективный диаметр молекулы воздуха принять равным dэф = 0,3 нм.