№ 4.95
Задание:
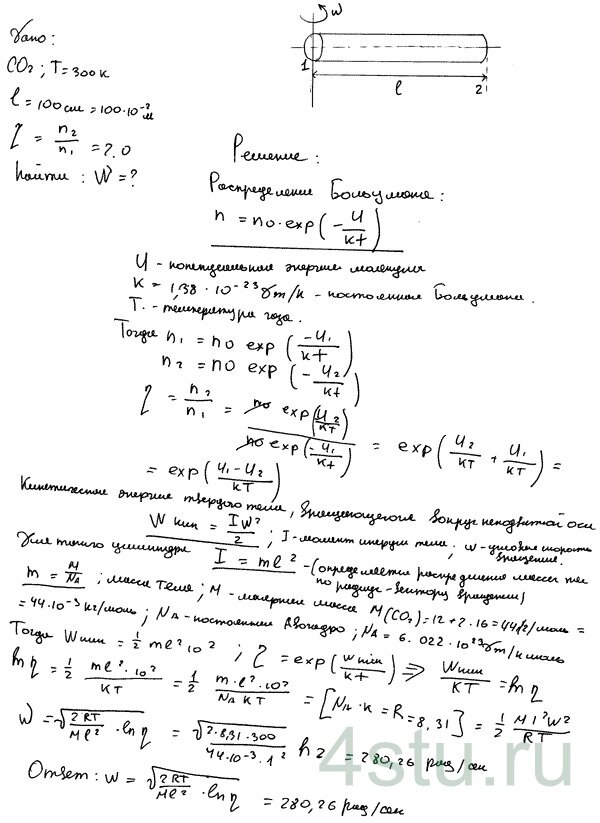
Горизонтально расположенную трубку с закрытыми торцами вращают с постоянной угловой скоростью ω вокруг вертикальной оси, проходящей через один из ее торцов. В трубке находится углекислый газ при температуре Т = 300 К. Длина трубки b = 100 см. Найти значение ω, при котором отношение концентраций молекул у противоположных торцов трубки η = 2. Молярная масса углекислого газа μ = 44·10–3 кг/моль.
Решение:
