№ 4.92
Задание:
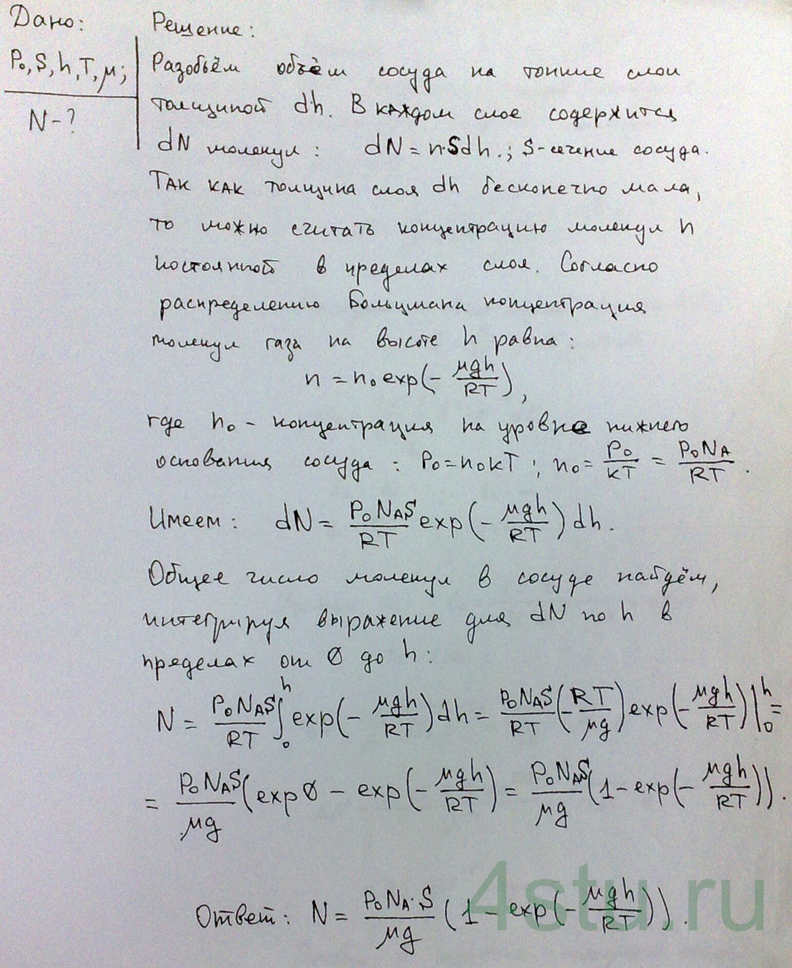
Определить число молекул N газа, заключенного в вертикальном цилиндрическом сосуде. Площадь основания сосуда S, высота h. Давление на уровне нижнего основания сосуда Р0. Температура газа Т. Считать, что температура газа и ускорение свободного падения не зависят от высоты. Молярная масса газа μ.
Решение:
