№ 4.81
Задание:
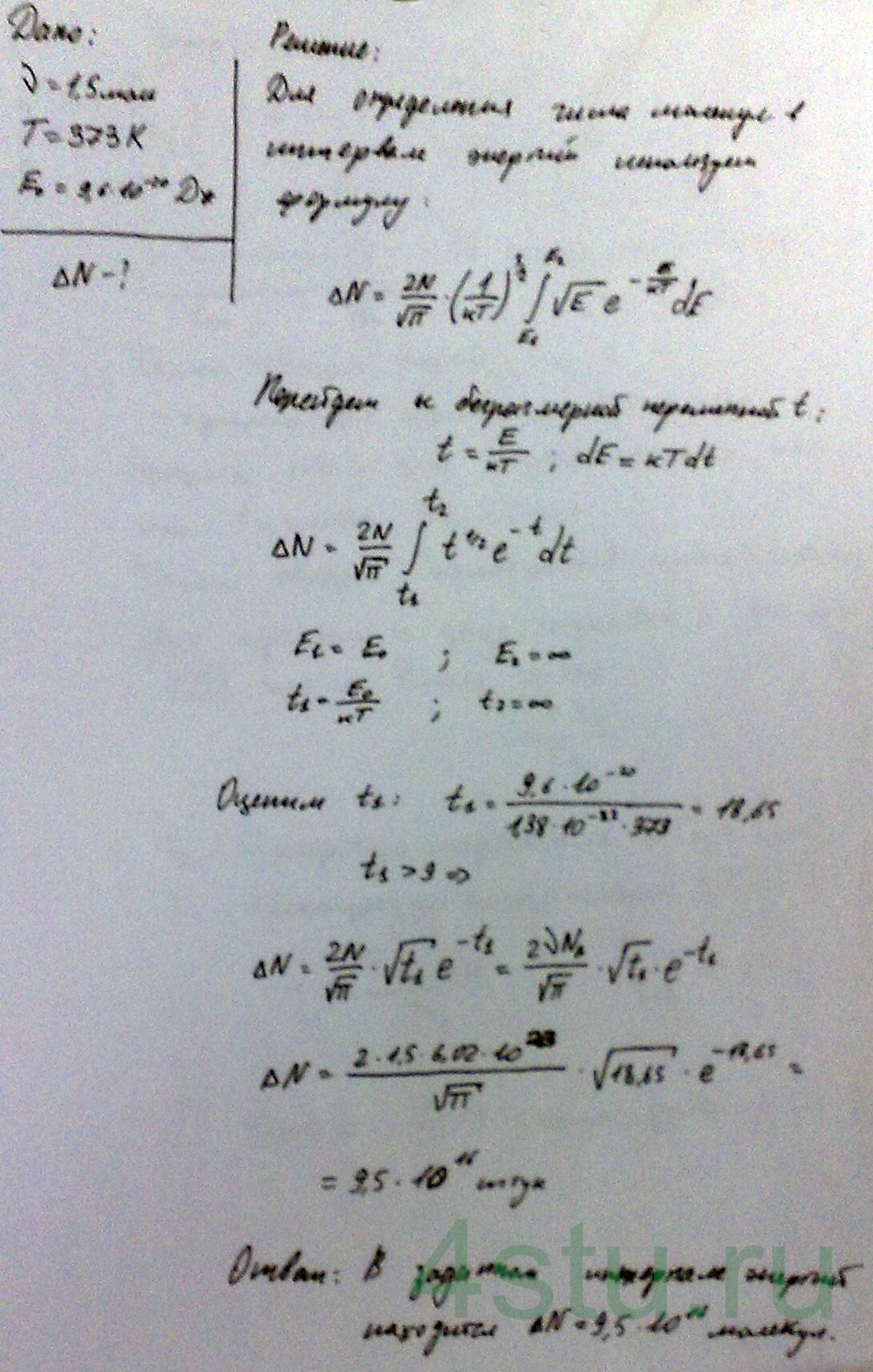
В сосуде находится аргон при температуре t = 100°C в количестве ν = 1,5 моля. Найти число молекул аргона, кинетические энергии которых превышают значение энергии E0 = 9,6·10-20 Дж.
Решение:

В сосуде находится аргон при температуре t = 100°C в количестве ν = 1,5 моля. Найти число молекул аргона, кинетические энергии которых превышают значение энергии E0 = 9,6·10-20 Дж.