№ 4.65
Задание:
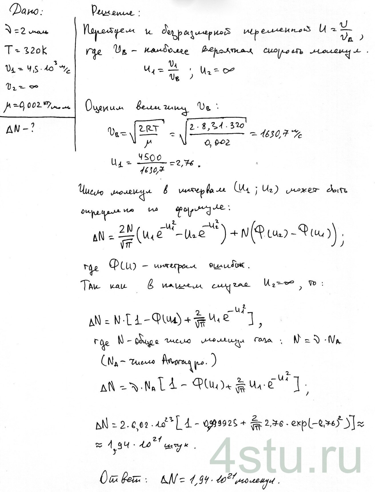
Водород в количестве ν = 2 моля находится в закрытом сосуде при температуре Т = 320 К. Найти число молекул, имеющих скорости более vMIN = 4,5·103 м/c. Молярная масса водорода μ = 2·10–3 кг/моль.
Решение:

Водород в количестве ν = 2 моля находится в закрытом сосуде при температуре Т = 320 К. Найти число молекул, имеющих скорости более vMIN = 4,5·103 м/c. Молярная масса водорода μ = 2·10–3 кг/моль.