№ 4.36
Задание:
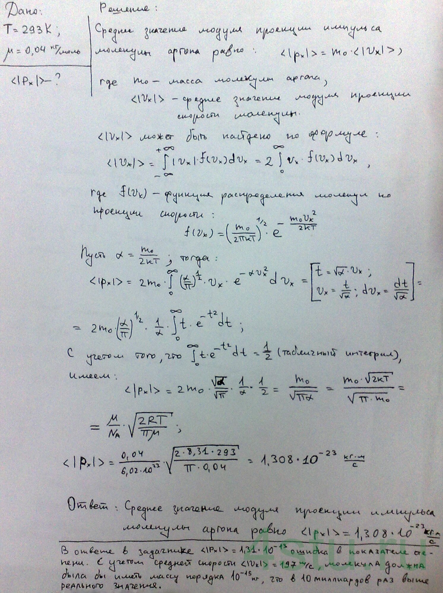
Используя функцию распределения Максвелла по компоненте скорости, найти среднее значение модуля проекции импульса <|pX|> для молекул аргона при температуре t = 20°C. Молярная масса аргона μ = 40·10–3 кг/моль.
Решение:

Используя функцию распределения Максвелла по компоненте скорости, найти среднее значение модуля проекции импульса <|pX|> для молекул аргона при температуре t = 20°C. Молярная масса аргона μ = 40·10–3 кг/моль.