№ 4.32
Задание:
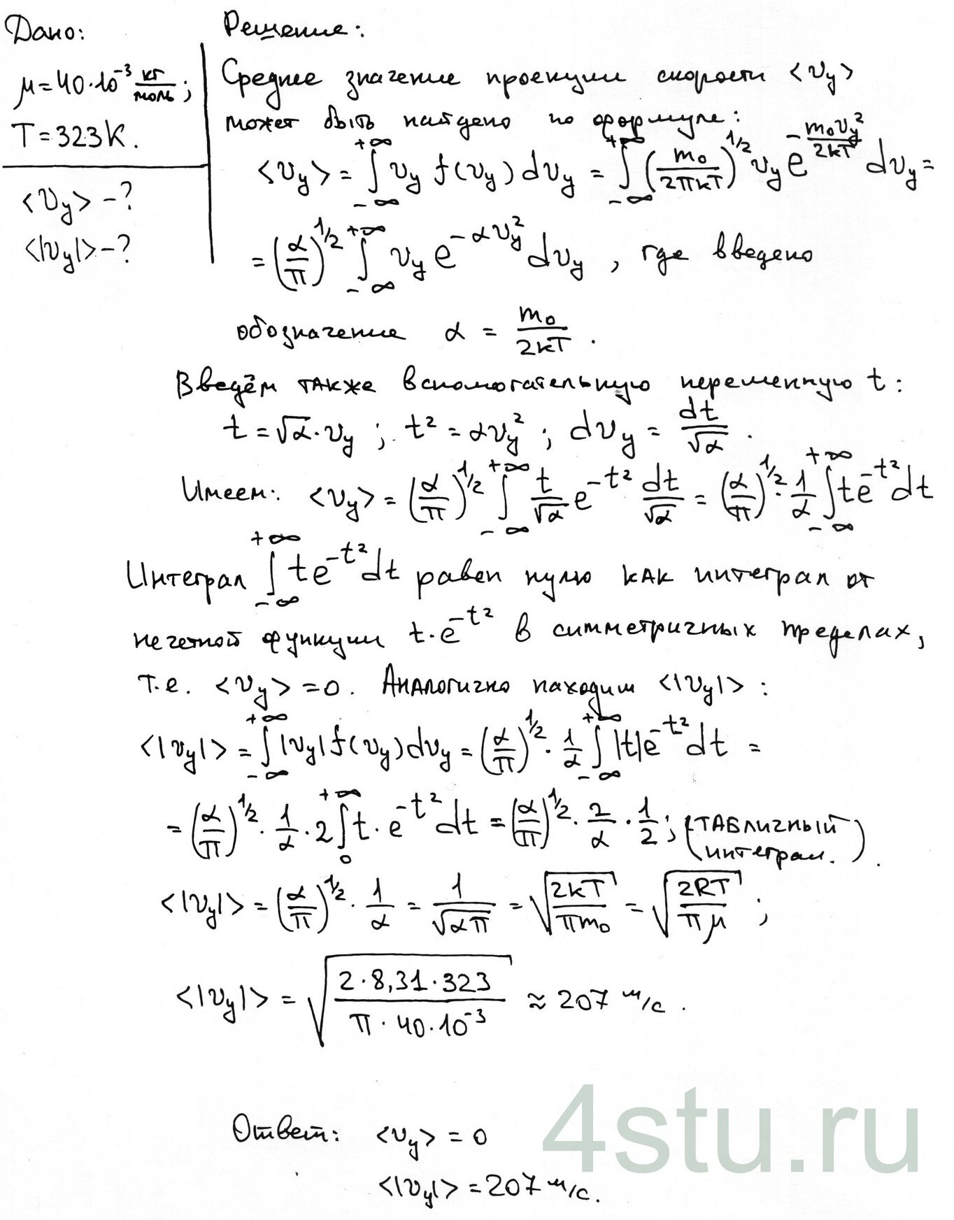
Вычислить среднюю проекцию скорости 〈vY〉 и среднее значение модуля проекции скорости 〈|vY|〉 для молекул аргона при температуре t = 50°C. Молярная масса аргона μ = 40·10–3 кг/моль.
Решение:

Вычислить среднюю проекцию скорости 〈vY〉 и среднее значение модуля проекции скорости 〈|vY|〉 для молекул аргона при температуре t = 50°C. Молярная масса аргона μ = 40·10–3 кг/моль.