№ 4.31
Задание:
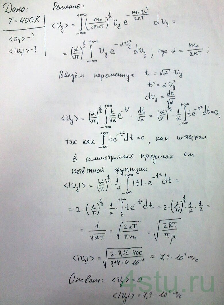
Вычислить среднюю проекцию скорости 〈vX〉 и среднее значение модуля проекции скорости 〈|vX|〉 для молекул гелия при температуре Т = 400 К. Молярная масса гелия μ = 4·10–3 кг/моль.
Решение:

Вычислить среднюю проекцию скорости 〈vX〉 и среднее значение модуля проекции скорости 〈|vX|〉 для молекул гелия при температуре Т = 400 К. Молярная масса гелия μ = 4·10–3 кг/моль.