№ 4.20
Задание:
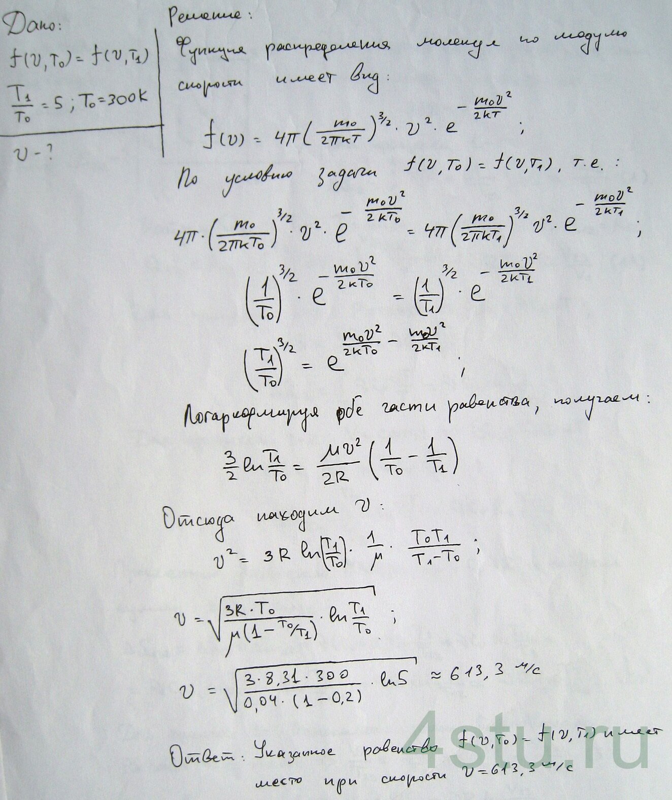
Определить скорость молекул аргона, при которой значение функции распределения по модулю скорости f(v) для температуры Т0 = 300 К будет таким же, как и для температуры в n = 5 раз большей. Молярная масса аргона μ = 40·10–3 кг/моль.
Решение:
