№ 4.19
Задание:
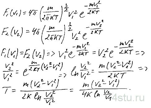
Найти температуру азота, при которой скоростям молекул v1 = 300 м/c и v2 = 600 м/с соответствуют одинаковые значения функции распределения по модулю скорости f(v). Молярная масса азота μ = 28·10–3 кг/моль.
Решение:

Найти температуру азота, при которой скоростям молекул v1 = 300 м/c и v2 = 600 м/с соответствуют одинаковые значения функции распределения по модулю скорости f(v). Молярная масса азота μ = 28·10–3 кг/моль.