№ 3.82
Задание:
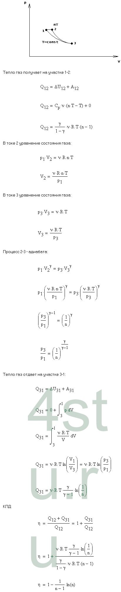
Идеальный газ совершает цикл 1–2–3–1, в пределах которого абсолютная температура изменяется в n раз. Цикл имеет вид, показанный на рис.3.21, где Т – температура, а S – энтропия. Найти КПД этого цикла.

Решение:

Идеальный газ совершает цикл 1–2–3–1, в пределах которого абсолютная температура изменяется в n раз. Цикл имеет вид, показанный на рис.3.21, где Т – температура, а S – энтропия. Найти КПД этого цикла.