№ 3.68
Задание:
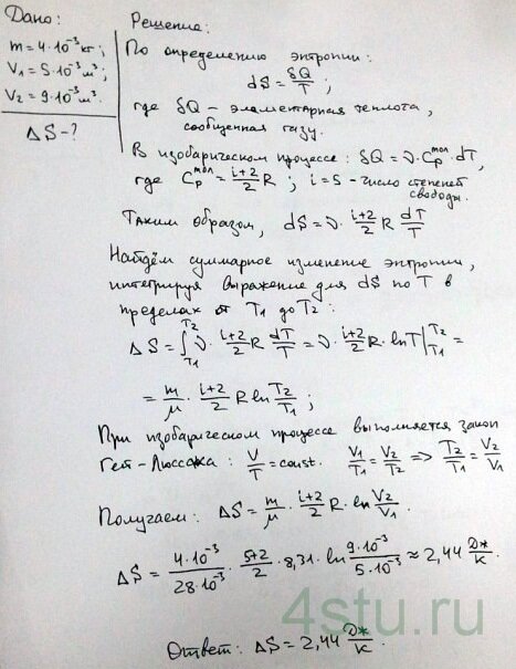
Найти изменение ΔS энтропии азота массой m = 4 г при изобарическом расширении от объема V1 = 5 л до объема V2 = 9 л. Молярная масса азота μ = 28·10–3 кг/моль.
Решение:

Найти изменение ΔS энтропии азота массой m = 4 г при изобарическом расширении от объема V1 = 5 л до объема V2 = 9 л. Молярная масса азота μ = 28·10–3 кг/моль.