№ 3.53
Задание:
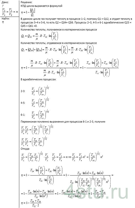
Идеальный газ с показателем адиабаты γ совершает цикл, состоящий из чередующихся изотерм и адиабат: изотермы 1–2, 3–4 и 5–6, остальные адиабаты (рис.3.19). Температуры, при которых происходят изотермические процессы, T1, T2 и T3. Найти КПД цикла, если объем в каждом изотермическом сжатии уменьшается в n раз.

Решение:
