№ 3.45
Задание:
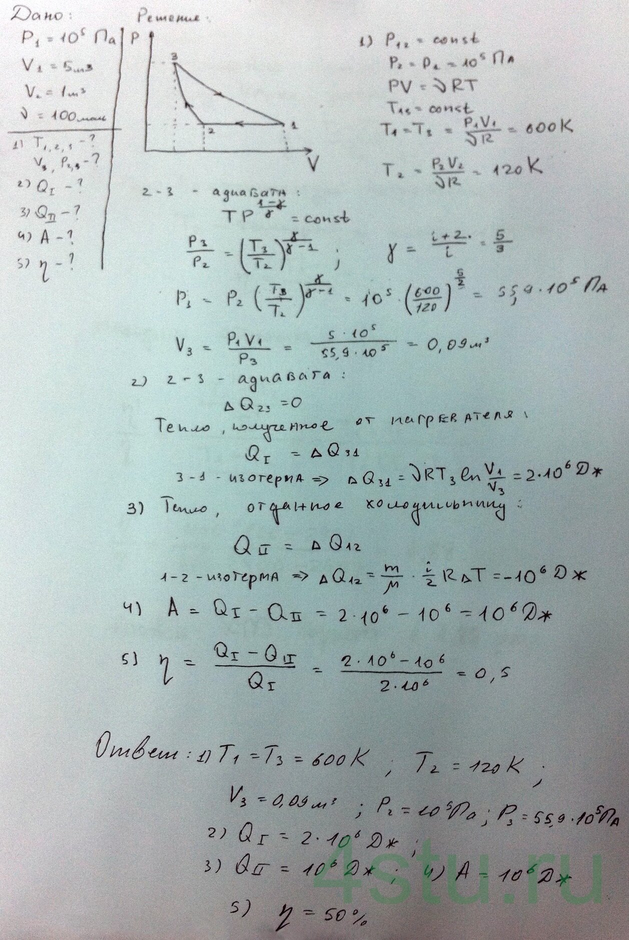
Одноатомный идеальный газ в количестве ν = 0,1 кмоль, имевший при давлении P1 = 105 Па объем V1 = 5 м3, сжимался изобарически до объема V2 = 1 м3, затем сжимался адиабатически, и наконец, расширялся при постоянной температуре до начального давления и объема. Построить график процесса. Найти: 1) температуру, давление и объем для характерных точек цикла; 2) теплоту Q1, полученную от нагревателя; 3) теплоту Q2, отданную холодильнику; 4) работу А, совершенную газом за цикл; 5) КПД цикла.
Решение:
