№ 3.43
Задание:
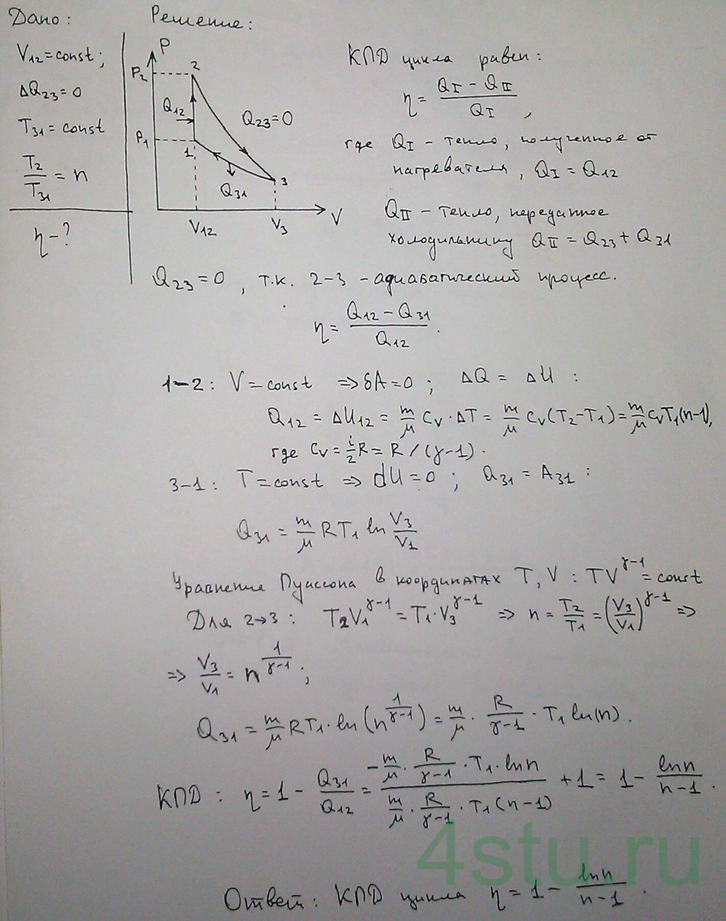
Идеальный газ с показателем адиабаты γ совершает цикл, состоящий из изохоры, адиабаты и изотермы, причем изотермический процесс происходит при минимальной температуре цикла. Построить график процесса и найти КПД цикла, если абсолютная температура в пределах цикла изменяется в n раз.
Решение:
