№ 3.40
Задание:
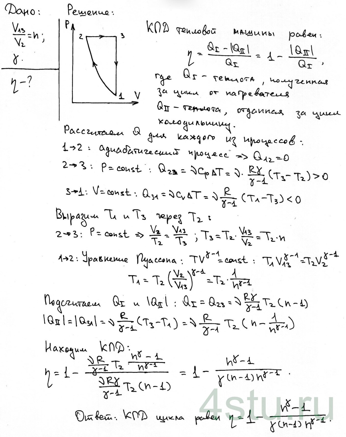
Идеальный газ с показателем адиабаты γ совершает прямой цикл, состоящий из адиабаты, изобары и изохоры. Построить график процесса и найти КПД цикла, если в адиабатическом процессе объем газа уменьшился в n раз.
Решение:

Идеальный газ с показателем адиабаты γ совершает прямой цикл, состоящий из адиабаты, изобары и изохоры. Построить график процесса и найти КПД цикла, если в адиабатическом процессе объем газа уменьшился в n раз.