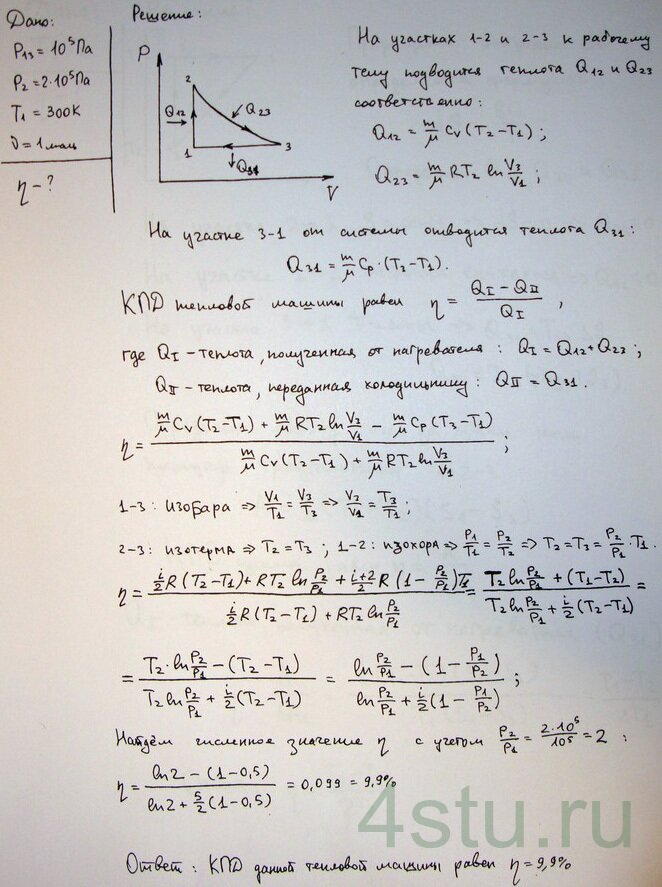
№ 3.37
Задание:
ν = 1 моль идеального двухатомного газа, находящийся при давлении P1 = 0,1 МПа и температуре T1 = 300 K, нагревают изохорически до давления P2 = 0,2 МПа. После этого газ изотермически расширился до начального давления и, затем, был изобарно сжат до начального объема. Построить график цикла и найти его КПД.
Решение:
