№ 2.74
Задание:
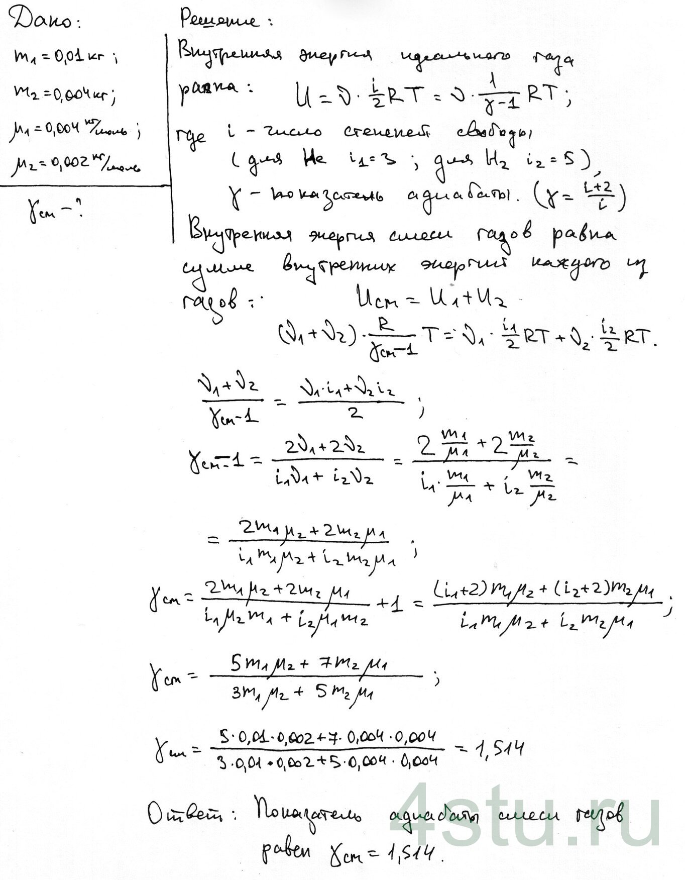
Определить показатель адиабаты γ для смеси газов, содержащей гелий массой m1 = 10 г и водород массой m2 = 4 г. Молярные массы гелия и водорода соответственно равны μ1 = 0,004 кг/моль, μ2 = 0,002 кг/моль.
Решение:

Определить показатель адиабаты γ для смеси газов, содержащей гелий массой m1 = 10 г и водород массой m2 = 4 г. Молярные массы гелия и водорода соответственно равны μ1 = 0,004 кг/моль, μ2 = 0,002 кг/моль.