№ 2.60
Задание:
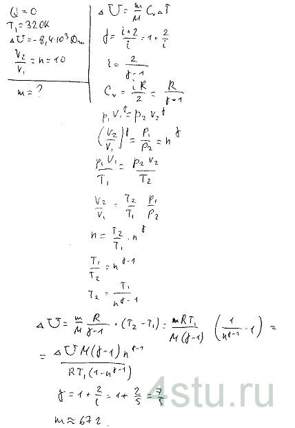
При адиабатическом расширении кислорода с начальной температурой Т1 = 320 К его внутренняя энергия уменьшилась на ΔU = 8,4 кДж, а его объем увеличился в n = 10 раз. Определить массу кислорода m. Молярная масса кислорода μ = 0,032 кг/моль.
Решение:
