№ 2.58
Задание:
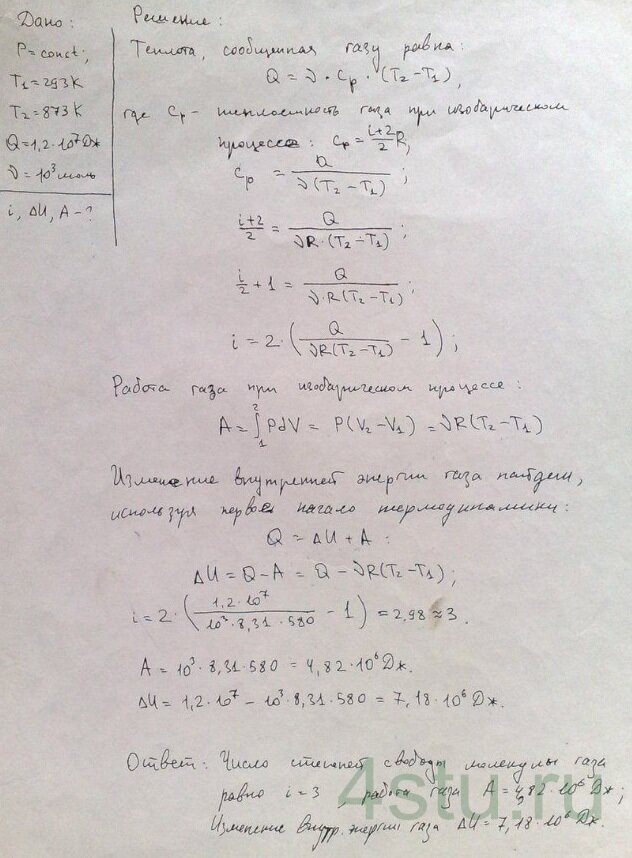
Один киломоль идеального газа изобарически нагревают от температуры Т1 = 293 К до Т2 = 873 К, при этом газ поглощает Q = 1,2·107 Дж тепла. Найти: 1) число степеней свободы газа i; 2) приращение внутренней энергии газа ΔU; 3) работу газа А.
Решение:
