№ 2.57
Задание:
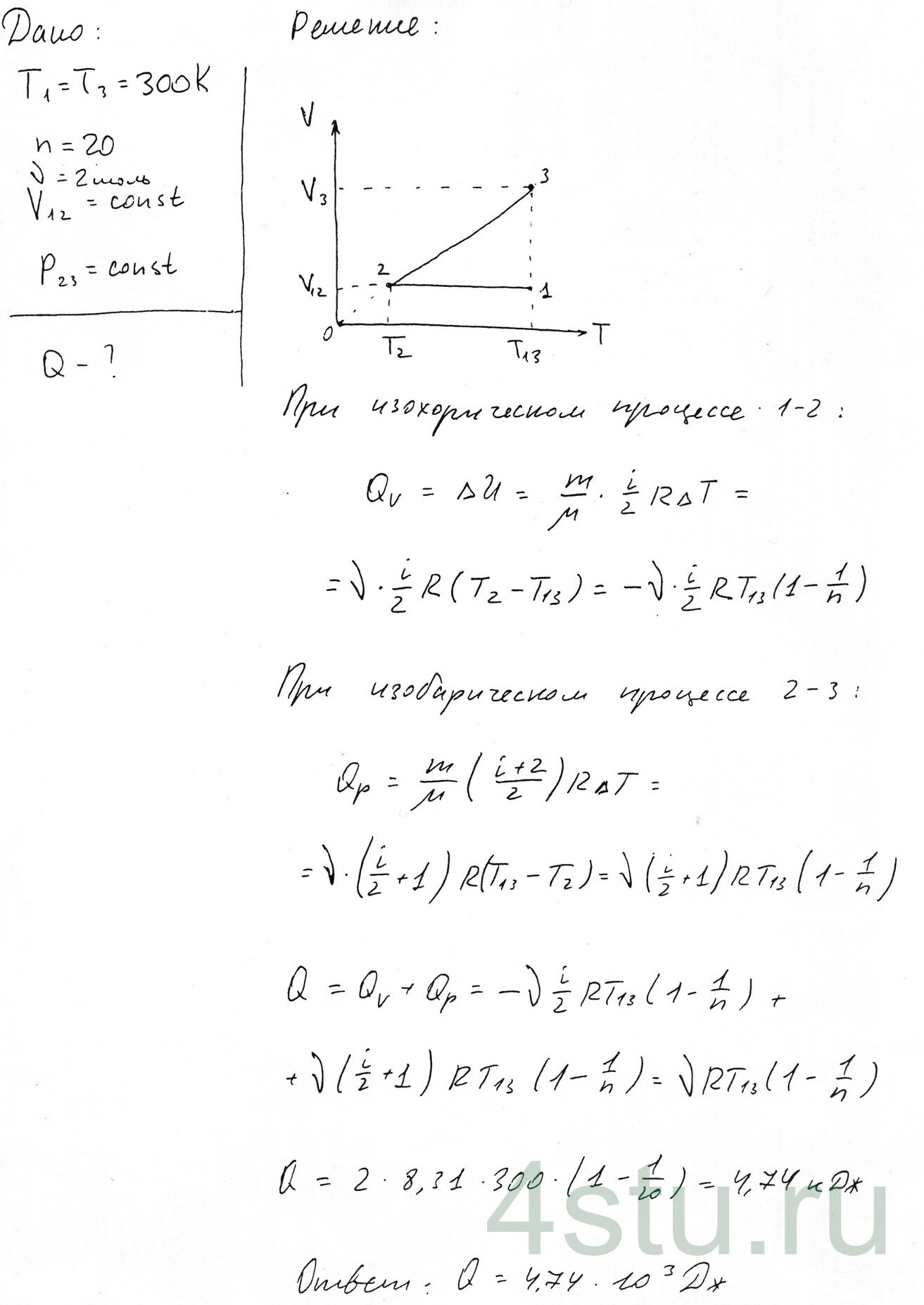
ν = 2 моля идеального газа при температуре Т0 = 300 К охладили изохорически, вследствие чего давление уменьшилось в n = 20 раз. Затем газ изобарически расширили так, что в конечном состоянии его температура стала равна первоначальной. Найти суммарное количество тепла в этих процессах.
Решение:
