№ 2.52
Задание:
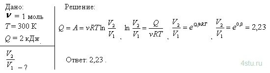
При изотермическом расширении кислорода, содержащего количество вещества ν = 1 моль и имевшего температуру Т = 300 К, газу было передано количество теплоты Q = 2 кДж. Во сколько раз увеличился объем газа?
Решение:

При изотермическом расширении кислорода, содержащего количество вещества ν = 1 моль и имевшего температуру Т = 300 К, газу было передано количество теплоты Q = 2 кДж. Во сколько раз увеличился объем газа?