№ 2.44
Задание:
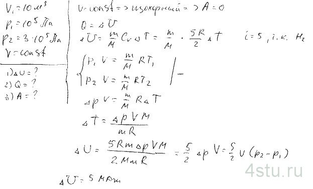
Водород занимает объем V1 = 10 м3 при давлении Р1 = 100 кПа. Газ нагрели при постоянном объеме до давления Р2 = 300 кПа. Определить изменение внутренней энергии ΔU газа; работу А, совершенную газом; количество теплоты Q, сообщенное газу.
Решение:
