№ 2.31
Задание:
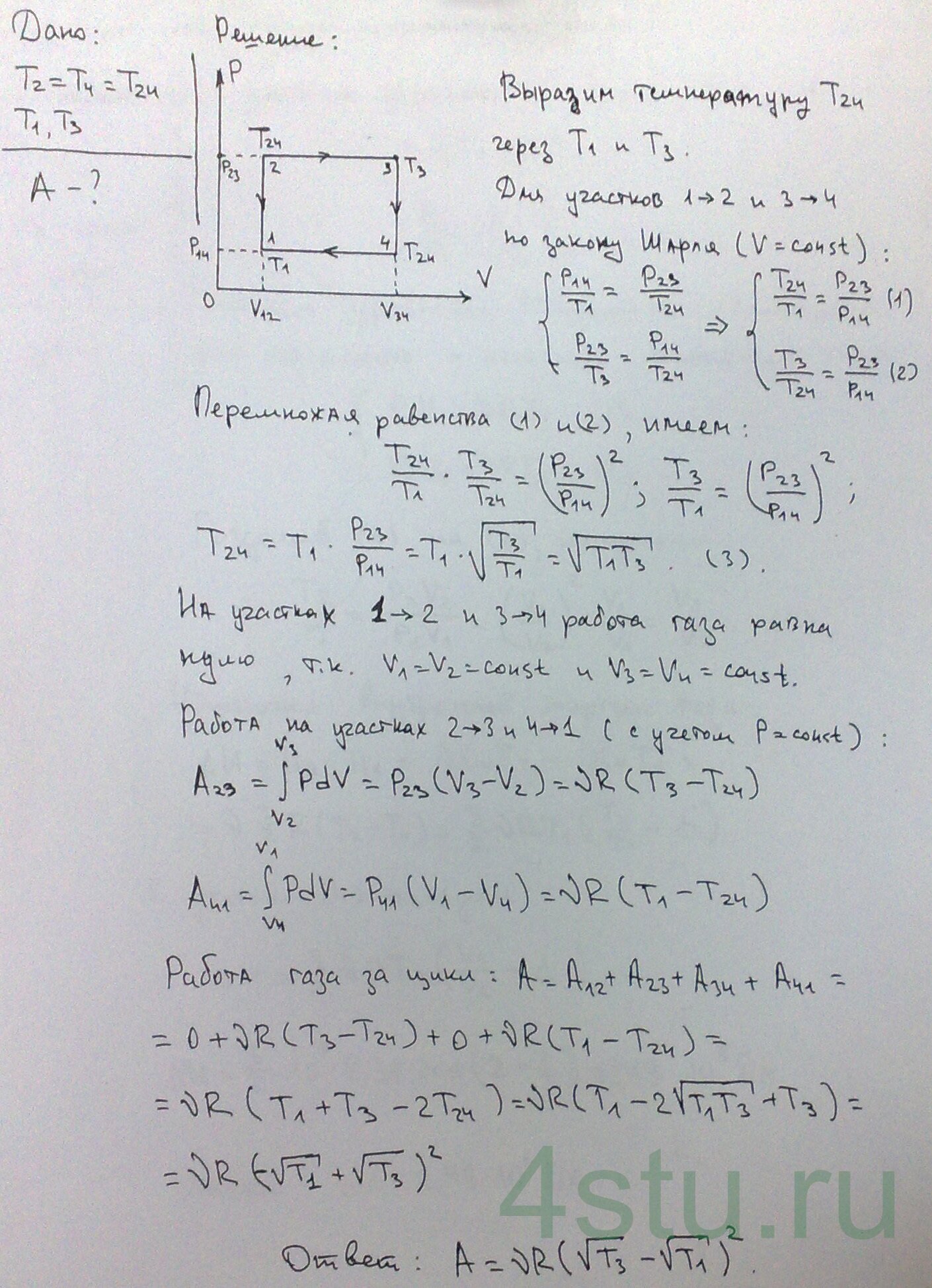
Один моль идеального одноатомного газа участвует в процессе, график которого, состоящий из двух изохор и двух изобар, представлен на рис.2.6. Температуры в состояниях 1 и 3 равны Т1 и Т3. соответственно. Определить работу, совершаемую газом за цикл, если точки 2 и 4 лежат на одной изотерме.

Решение:
