№ 1.40
Задание:
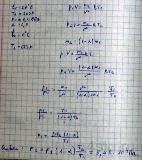
Баллон содержит сжатый идеальный газ при температуре t1 = 27°С и давлении Р1 = 0,2 МПа. Каким будет давление Р2 в баллоне, когда из него будет выпущено α = 0,7 массы газа, а температура понизится до t2 = 0°С?
Решение:
Два варианта решения задачи.jpg)
.jpg)