№ 7.49
Задание:
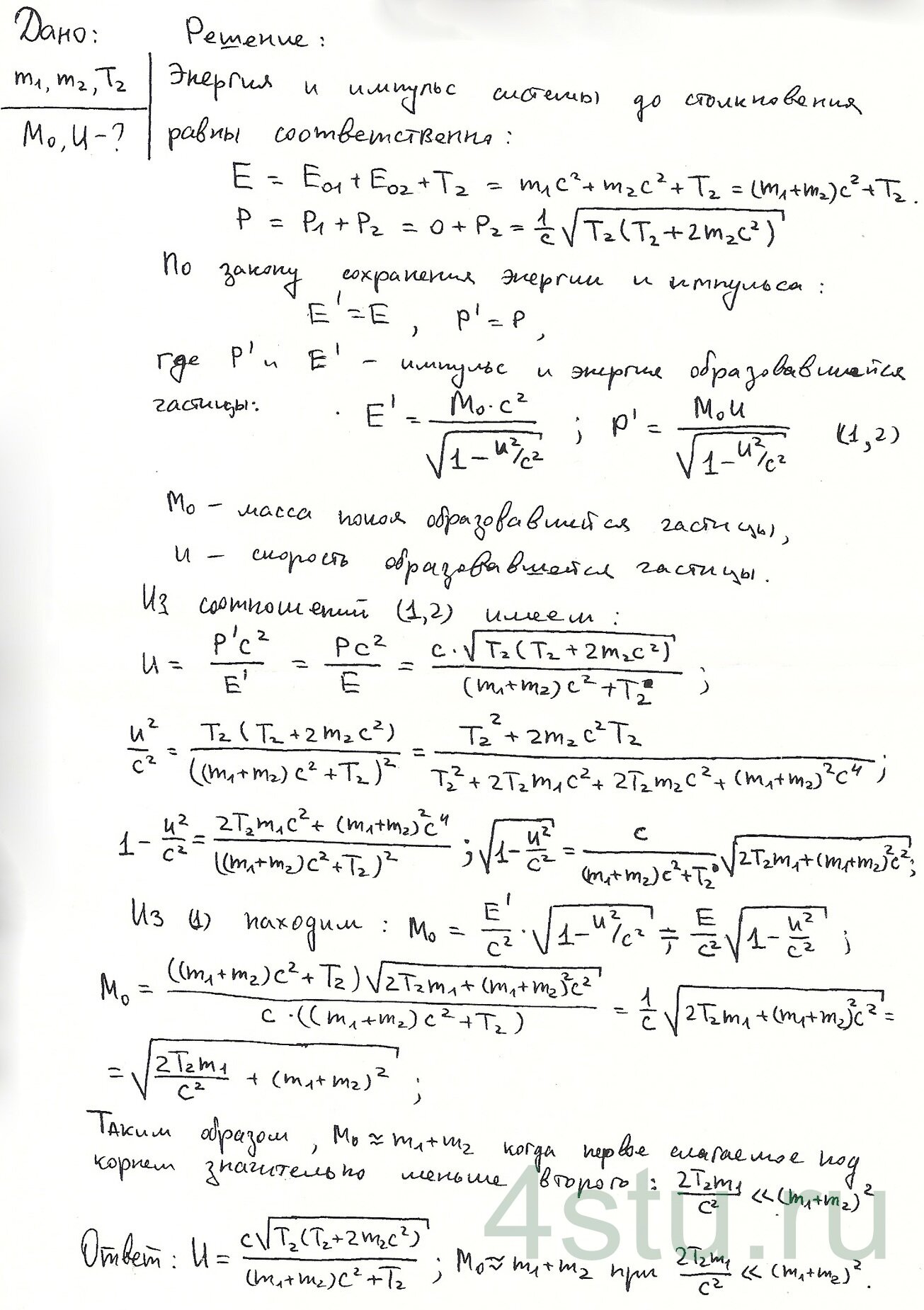
На покоящуюся частицу массы m1 налетает частица массы m2, кинетическая энергия которой равна Т2. После столкновения частицы слипаются и движутся как целое. Найти массу образовавшейся частицы. При каких условиях эта масса приблизительно равна сумме масс исходных частиц? Найти скорость образовавшейся частицы.
Решение:
