№ 7.14
Задание:
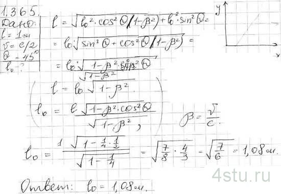
Найти собственную длину стержня, если в лабораторной системе отсчета его скорость v = c/2, длина l = 1 м, угол между ним и направлением движения α = 45°.
Решение:

Найти собственную длину стержня, если в лабораторной системе отсчета его скорость v = c/2, длина l = 1 м, угол между ним и направлением движения α = 45°.